Dong X, Liu Y, Li T, et al. LBFT-DAG: A Swift, Leader-Driven, DAG-Based Consortium Blockchain with Byzantine Fault-Tolerance[C]//IEEE INFOCOM 2025-IEEE Conference on Computer Communications. IEEE, 2025: 1-10.
DAG 区块链正在成为传统单链结构之后的真正“性能接棒者”。
但大多数 DAG 系统有两个问题:
- 要么结构太复杂、难以落地
- 要么要靠 PoW 类机制维持主链稳定,浪费资源,还慢
这篇来自 INFOCOM 2025 的论文提出了一个新方案——LBFT-DAG。它把 DAG 的高并行优势,与 BFT 的安全性、联盟链的易管理性结合在一起,做到:高吞吐、高安全、低开销、可落地,并且能抗 50% 恶意节点。
一、LBFT-DAG 解决了三大难题
1. DAG 并行好,但只有偏序关系,而无全序关系
传统 DAG 结构难以做到“稳定、唯一、可重复”的总排序(total order),这也是 DAG 区块链迟迟无法大规模落地的主要原因。
2. 投票太贵,节点越多越慢
比如 IOTA、HashGraph、Conflux 等:
- 每个区块都参与投票(要么直接引用,要么间接引用)
- 图越大,投票越贵、越慢
3. 复杂 DAG 容易出现孤立块,无法被引用
复杂DAG中容易出现区块无人投票确认,而成为孤立块。
二、创新点1:独特的区块结构
1、角色:Leader(主链生成)与 Voter(并行子链与投票)。
每节点维护子链,Leader主链提供全局顺序骨架。
2、每个区块有两条引用边:
- 父引用(Parent Edge)- 指向前一块
- 随机引用(Normal Edge)- 随机指向其他节点块

图一、区块结构图
三、创新点2:异步投票机制
仅对 Leader 区块投票,随机引用形成隐式投票网络。
- 投票是一个很低效的操作=》仅对 Leader 区块投票
- 随机引用=》防止孤立块的产生
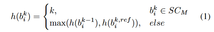
- 同时引入了Voting Height来优化投票,是指从投票者块到它有直接路径的领导者块的最大指数。由两个引用的来源,通过动态规划可以迅速得出Voting Height.(可以认为节点b对Leader链上<=其最新投票者块的Voting Height的Leader区块表示投票确认)
- 计算出Voting Height后,可以由以下逻辑,迅速判断是否确认一个Leader块:当检测到超过半数节点的最新 voter 都已引用到该 Leader 块的高度 → 该 Leader 块被视为已确认。
- 当 Leader 获得多数票后确认(commit),降低通信复杂度。

图二、Voting Height状态转移公式
四、创新点3:双阶段排序机制
- 阶段1(Leader执行):确定主链与轮次顺序。
从轮数为k的Leader块开始,统计沿路径可达的投票者块集合Vk的轮数,Vk的轮数也等于k。同时,考虑到多个领导者块可以到达同一个投票者块,对轮数最小的投票者块进行优先排序。
- 阶段2(全体节点本地执行):BFS拓扑排序每轮Voter块。
V1 = {b1l}, V2 = {b2l , b15}, and V3 = {b3l , b23, b13}.

图三、投票流程图
五、安全性与容错分析
- 安全性:Leader块过半投票→主链唯一不可回滚。
- 活性:随机引用防止孤立块、超时自动重选Leader。
- 分叉攻击:只有领导者不诚实会导致分叉→超过50%投票才会确定+重新选举领导者机制防止分叉
- 投票攻击(目的:无限期延迟达成共识):由于只允许投赞成票,或者弃权,假设恶意节点数为f,Voting Node数>=2f+1(而非3f+1)即可确认,有以下两种行为。
1、持续地投固定选票:由于随机引用,很容易被发现
2、根本不发送任何选票:标志为离线 - 防双花机制:
1、双阶段排序:唯一执行顺序。
2、账户模型校验:余额不足/nonce冲突交易丢弃。
3、多数投票锁定顺序,不可重组。
六、实验结果
- 吞吐量>8000 TPS,延迟仅数秒。
- 优于 IOTA、Conflux、Fabric。

本文主要参考和使用了论文中展示的图片,以下给出相关链接。