X. Huang et al., “ContribChain: A Stress-Balanced Blockchain Sharding Protocol with Node Contribution Awareness,” IEEE INFOCOM 2025 – IEEE Conference on Computer Communications, London, United Kingdom, 2025, pp. 1-10, doi: 10.1109/INFOCOM55648.2025.11044497. keywords: {Measurement;Sharding;Protocols;Heuristic algorithms;Throughput;Blockchains;Resource management;Security;Stress;Radio spectrum management},
在追求高性能、高扩展性的道路上,区块链最重要的技术之一就是 分片(Sharding)。它像高速公路一样,把一条车道拆成多条,让交易同时处理,从而获得成倍的吞吐量提升。
但过去几年,几乎所有分片系统都遇到同样的瓶颈:
为什么负载看起来均衡了,链却依旧卡?
为什么某些分片成了“堵点”,而另一些却闲得发慌?
因为他们往往忽略了各分片的真实处理能力是否与负载匹配。节点性能参差不齐、网络环境不稳定、恶意节点混入,这些因素让分片系统哪怕“看起来平衡”,依旧可能在实际运行中出现严重的压力不均衡。
一、一个核心理念:分片系统不能只“分交易”,更要“分压力”
ContribChain 的创新点并不复杂,但极具洞察力:
系统不仅应该知道“交易在哪里”,更应该知道“哪些节点强、哪些弱、哪些安全可靠、哪些可能不稳定”。
为此,ContribChain首次在分片系统中引入了 Node Contribution Value(节点贡献值):
- 它衡量节点的性能贡献(处理交易的能力)
- 也衡量节点的安全贡献(在 PBFT 共识中表现稳定与否)
贡献值会随每个 epoch 变化,根据节点的真实行为不断更新。这意味着:
每个节点的“实力”不是写死的,而是动态评估的。

图一、ContribChain工作流图
二、NACV:按贡献值进行智能节点分配
NACV像一个“调度大师”,负责把节点合理分布到不同分片。
如果一个 shard 当前很弱,它会自动被“补充”更强更稳定的节点;
而那些不稳定或表现欠佳的节点,会被转移到更安全的 shard,避免风险集中。
具体地,把节点按性能、安全贡献值合理分配到 shard,使每个 shard 的总性能尽量接近。
算法包含:
- 新节点处理
- 安全调整(让各 shard 的安全值方差降低)
- 性能调整(让 shard 处理时间差异降低)



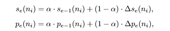
图二、评估指标迭代公式图
三、P-Louvain:真正意义上的“性能感知”账户分配算法
分片研究中最棘手的问题之一是 跨分片交易。
跨片越多:
- 延迟越高
- 成本越大
- 一旦某个 shard 卡住,全系统都跟着掉速
P-Louvain 的巧妙之处在于:
相比普通 Louvain:
- 增加 performance-aware 排序
- 加入 node movement 阶段,把某些账户从处理慢的 shard 迁移到更适合的 shard
它把每个账户和交易关系视为一个图,再结合每个分片的处理能力(以处理时间度量),不断移动账户节点,让账户收敛到合适的 shard。
四、实验结果
(1) 吞吐量 TPS
- 在 2000 tx/s 到 3000 tx/s 负载下,ContribChain-1(NACV + P-Louvain)TPS 比:
- Monoxide 高 92%
- CLPA 高 35.8%
(2) 交易确认延迟(latency)
ContribChain 延迟最低且稳定性最好。
(3) 跨分片交易比例(Cross-Shard TX Ratio)
- ContribChain-1 比 CLPA 低 16%
- 且随 shard 数增大保持稳定(优秀扩展性)
(4) 交易池 backlog(TX pool queue)
ContribChain:
- 峰值最低
- 清空队列最快
说明其压力平衡策略有效降低分片拥塞。
(5) 分片压力平衡(Shard Stress)
- Monoxide 某些 shard 处理时间很长 → 典型压力失衡
- ContribChain 所有 shard 时间接近 → 压力平衡效果显著
(6) 分片安全性平衡
- ContribChain security variance 最低
- CLPA/Monoxide 波动大且更不稳定



图三、实验效果图
五、核心动机分析
ContribChain 的核心动机其实就是修复区块链分片的“木桶短板”,通过动态评估节点质量与压力平衡,把最弱 shard 的能力补齐,从而显著提升全系统性能。
本文主要参考和使用了论文中展示的图片,以下给出相关链接。